モールの定理

先日、卒業生より、モールの定理について質問を受けましたので、今一度、おさらいしておきたいと思います。通常、どこの学校でも一度は習う定理だと思いますが、建築士試験「対策」という観点から考えると、あまり必要としくなってしまうんで、まあ、それこそ「うろ覚え」状態であるのが、ごく自然なことと思われます。

すなわち、ごく一般的な単純ばりや片持ちばりで、荷重状態の違いによる「たわみ」と「たわみ角」は、普通は暗記して試験に臨むと思いますので、それらを、いちいちモールの定理を使って求めたりしません。

が、まれに、モーメント荷重とか、ちょっとイレギュラーな荷重が作用している場合など、暗記していなかった「たわみ」や「たわみ角」が問われることがあります。

そういう場合に、モールの定理を知っていると重宝します。ただし、仮に、モールの定理を必要とするような問題が出題されたときは、一番最後に解くようにしましょう。構造と施工の教科はセットになっていますが、何なら、施工が解き終わった後でもいいくらいです。

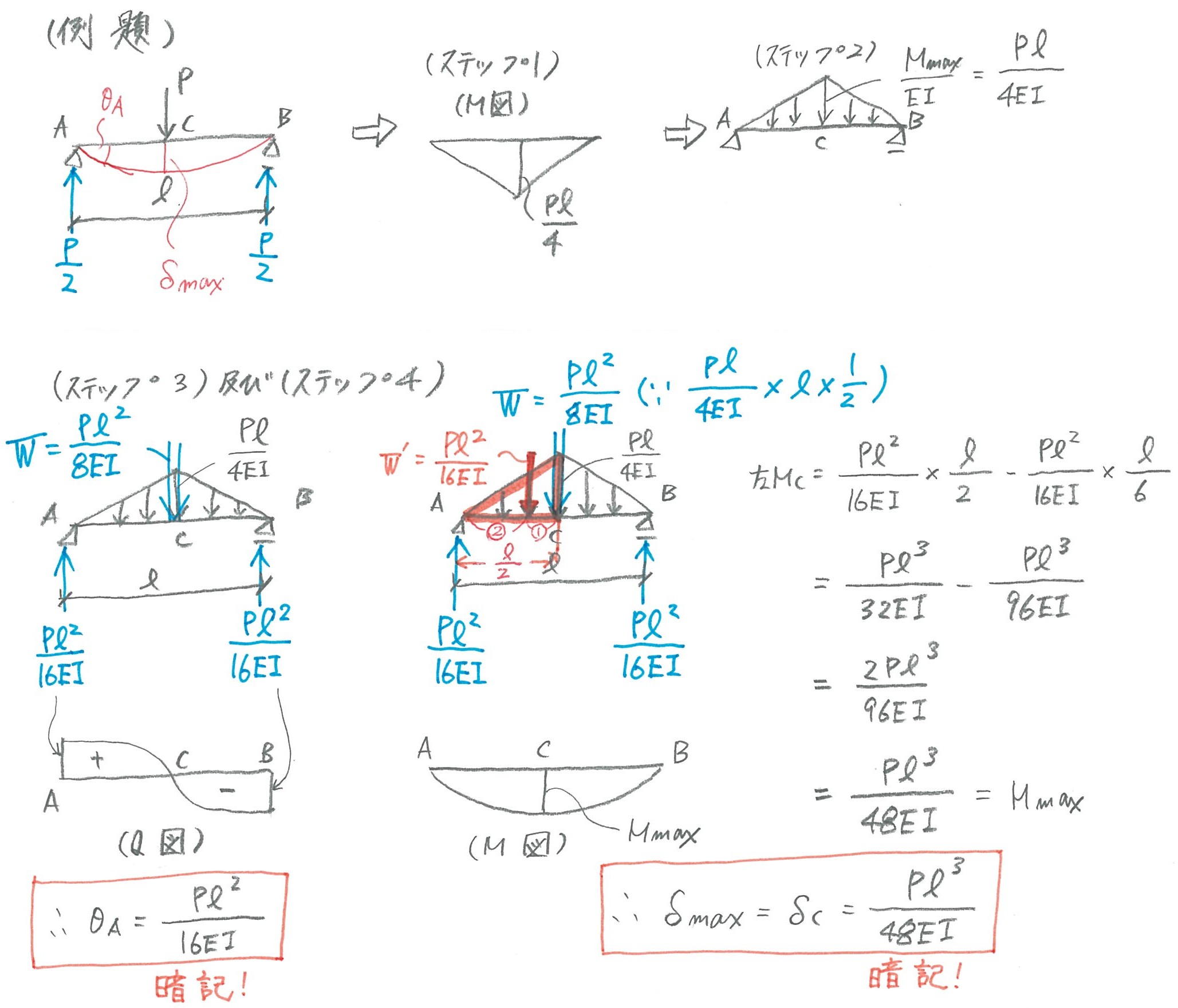
モールの定理の基本原則において、留意すべき大まかな流れとしては、次のようになります。

  1. まず、M図を描く。
  2. M図を反転させて、Mmaxを1/EI倍する。(→弾性荷重という)
  3. 弾性荷重が作用した状態で求めたせん断力が「たわみ角」であり、曲げモーメントが「たわみ」となります。

気を付けなければならないのは、上記は単純ばりの場合であり、片持ちばりの場合は、ⅱ.のときに固定端と自由端を逆転させます。

以下に、解法例を付記しますので、ご参照下さい。

くり返しになりますが、通常は上記の結果のみ暗記しておけば、それで試験対策としては十分です。勉強時間に余裕のあるときにでも、手順を確認してみて下さい。

確固たる「うろ覚え」

今回は、最近、試験勉強に対してモチベーションが下がり気味な受験生のみなさんへ、エールの気持ちを込めました。

 

建築士の学科試験の範囲は、膨大であります。
そして、記憶の精度が要求されます。

特に、一級建築士試験におきましては、その傾向がより顕著であり、常に勉強のゴールが霞んでいる感覚があると思います。

実際、ここまで勉強すればO.K.という明確な線引きはありません。
出題範囲は無限と言っていいです。

このことは、個人的に超苦手な教科である「計画」に、特にあてはまります。その中でも現代史においては、次々に新しい建物が世界中で出現しており、それらを全て覚えるなんてことは、不可能だと思っています(あくまでも個人的にですが)。

計画、環境・設備、法規、構造、施工という5教科それぞれが、たっぷりとボリューミーであり、覚えなければならない項目の多さから、目眩や吐き気を覚えます。

では、どうするか。

結局、過去問です。
とにかく、ひたすら、くり返しくり返し、過去問をやるしかないのです。

例えば、この前紹介した総合資格学院のスーパー7であれば、過去7年分の過去問と詳細な解説が載っていますから、それを、ただひたすらくり返し解くだけです。(もしも万が一、まだ、1周目も終わってないような場合は、まず答えを見てしまいましょう。それから問題文を読みます。)

特に、独学者は、もうひたすらくり返すしかありません。私自身、基本的に独学でしたが、恐らく10周以上はくり返したと思います(資格学校に通われている場合は、学校の用意するレールがあるわけですが、それでも、くり返し解くという基本スタンスは変わらないはずです。)

結構、闇雲に、ただひたすらくり返すだけでも、意外と覚えていく感覚があると思います。今の時代は、いろんなアプリがあったりするので、そういうものを併用すれば、さらに効率もアップすると思います。

今回、私が一番伝えたいのは、「うろ覚え」を単なる「うろ覚え」とせず、しかし、あくまでも完璧を目指すのではなくて、まずは「確固たるうろ覚え」を目指せということです。

建築士の学科試験は、本当に範囲が広いので、全てを完璧に覚えるのは不可能です。もちろん、絶対に完璧に覚えなければならない用語や公式はあります。しかし、それも、これも、どれも、最初から完璧に覚えようとするのではなく、まずは少しずつ、「うろ覚え」から始めましょう。

昨日は何にも覚えていなかった項目が、今日は「うろ覚え」となり、そして明日には「今日よりは理解しているうろ覚え」となって、やがて「確固たるうろ覚え」とでも言うべき、うろ覚えの最上級グレードとなるはずです。

要するに何が言いたいのかというと、建築士試験は、通常、学校を卒業した後に働きながらの勉強になるので、なかなか勉強時間を確保できません。そうした日々の不十分な学習時間の中で、あまり気持ちを張り詰めすぎず、まずは出来ることから一つずつ、覚えられることから一つずつ、あまり気負いすぎず、「うろ覚え」から始めようぜ! ということを言いたいのです。

「例え、明日死ぬことが分かっているとしても、今日、新しいことを始めてはならない理由にはならない。」

昔、古畑任三郎のテレビドラマで、田村正和が逮捕した犯人に対して言ってた言葉だったような(うろ覚えです)。

試験まで、あと1ヶ月ちょとですが、今からでも出来ることはあるはずです。もう、1ヶ月ちょっとしかないから、勉強しても無駄…、ではないのです! まだ、1ヶ月ちょっともあるのです。今からでも決して遅くはないのです。

まずは、「うろ覚え」から始めましょう!!

(結局、単なる根性論になってしまいました。)

 

今さらの力学の基本事項

建築士の本試験まであと1ヶ月ちょっとですが(1級も2級も)、今だからこその力学の基本事項をおさらいしたいと思います。

まずは、極めて基本的な単純ばりの反力の求め方についてです。
(今さら?という声が聞こえてきそうですが、しばしお付き合い下さい。)

下の図1のようなかたちのときは、いちいち力のつり合いによる反力計算はしなくていいです。

ポイントとして、A点よりB点のほうが荷重の作用するC点に近く、それだけ反発するための負担が大きいので、B点の反力のほうが大きくなります。

次に、M図についてですが、例えば下の図3において、C点における曲げモーメントの値は、C点よりも左側か右側のどちらか一方のモーメントの総和を計算すれば、それがすなわちC点における曲げモーメントの値を示しています。

なお、通常は図4のように、C点の左側と右側で符号が逆転します。図4のような状態で梁が曲げられるとき、梁は下に凸に変形するので、M図は図3のように描きます。

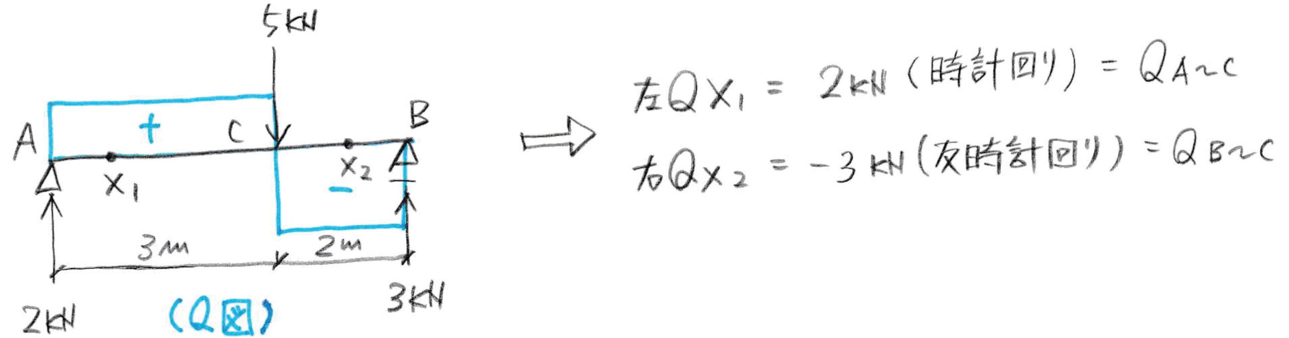
次にQ図ですが、例えば下図のように、A~C間にX1、C~B間にX2を設定し、それぞれの点から左側または右側で、材軸(AB軸)に垂直なの和を求めると、それがせん断力になります。

このとき、せん断力の符号は、あくまでも点X1とか点X2に対して、時計回りか反時計回りかで考えます。曲げモーメントの計算ではないので、誤って距離を掛けないように気をつけましょう。

以上が、基本事項となりますが、M図とQ図の間においては、微分積分の関係が成り立っています。それを平たく説明すると、以下のようになります。

つまり、例えばA~C区間で曲げモーメントが変化した分(6kN・m)を、その区間の距離3mで割ってやると、せん断力QA~Cが求まります。符号については、M図の勾配から求めることができます。

※以上、非常に稚拙なイラストで、誠に申し訳ございません。

 

H28年二級建築士学科試験 施工(木工事)の問題

H28年二級建築士試験 学科Ⅳ(施工)からの出題です。

問 木工事の用語とその説明との組合わせとして、最も不適当なものは、次のうちどれか。

  1. ひき立て寸法 ー 木材を製材した状態の木材断面寸法
  2. 仕上り寸法 ー かんな掛け等で木材表面を仕上げた後の部材断面寸法
  3. たいこ材 ー 構造用製材のうち、丸太の随心を中心に平行する2平面のみを切削した材
  4. 仕口 ー 2つ以上の部材に、ある角度をもたせた接合
  5. 本ざね加工 ー 板材等の側面に溝を彫り、その溝に細長い木片をはめ込む加工

 

【解答・解説】
本問は、一級建築士試験においても出題される内容です。上述の中で特に「ひき立て寸法」と「仕上り寸法」の違いについては、きちんと区別できるようにしておきましょう。1.と2.の設問はどちらも正しい記述ですので、そのまま覚えてしまいましょう。答えは、5.となります。設問の説明が、雇いざねのものとなっています。以下に、簡単なイラストを付記しますので、参考にしてみて下さい。本ざねとは、木片の側面に凹凸の加工を施したものです。
近年は、二級建築士試験においても、結構な頻度で一級の過去問から出題されますし、二級で難問とされていた過去問(特に木造系)が、一級で出題されたりしています。取り扱う建物規模の違いはあるにせよ、二級建築士試験のいっそうの難化傾向が見て取れます。今年、二級建築士試験に挑戦される場合は、是非とも気合いを入れて頑張って下さい!!

 

空間構成について(追記あり)

建築技術教育普及センター(JAEIC)から毎年発表されている合格基準の中で、「空間構成」という項目があります。H21年の大幅な一級建築士製図試験の改正の際、中央建築士審査会のとりまとめとして、この「空間構成」に足切り点を設定する旨が発表されました。すなわち、まずはここを突破しないと、採点の俎上に載らないということです。ランクⅢの場合、ここに抵触しているといっていいと思います。ランクⅣの場合、基本的には図面の未完成や建ぺい率違反などが挙げられると思います。

昨年の試験結果においては、JAEICより、以下のような詳しいランクⅢとⅣの根拠が示されました。

  • 設計条件に関する基礎的な不適合:「要求されている室の欠落」や「要求されている主要な室等の床面積の不適合」
  • 法令への重大な不適合:「延焼のおそれのある部分の位置(延焼ライン)と防火設備の設置」、防火区画(特に吹抜け部の1階部分の区画)」や「直通階段に至る重複区間の長さ」等
  • その他建築計画に基本的な問題があるもの:「吹抜けの計画(吹抜けとなっていないもの)」等

昨年は、2つ目の項目の防火関係について、かなり厳しくジャッジされたと認識しております(意外と構造部分については甘かったような?)。
1つ目と3つ目については、「空間構成」の範疇だと言えます。

ここで、JAEICより発表されている「空間構成」の項目を列挙し、それぞれの意味するところを解説させて頂きます。

①建築物の配置計画
敷地の中に、どのように建物を配置するかという一番基礎となる重要な計画ですが、意外とここを軽視しがちです。例えば、施設利用者用・車いす使用者用・サービス用の駐車場や駐輪場、屋外広場などの設置スペースを確保し、さらに周辺環境による建物へのアプローチを考慮した上で、建物の配置位置を決定します。当然、ここには建築面積なども関わってきますし、敷地の中にムダな用途不明のスペースがある場合はNGとなります。

②ゾーニング・動線計画
めちゃくちゃ重要です。ある意味、これがキモと言ってもいいかもしれません。通常は、利用者ゾーン・共用ゾーン・管理者ゾーンに分かれます。昨年の課題でいうと、以下のようになります。

(利用者ゾーン)
展示関連諸室やアトリエ関連諸室からなる教育・普及部門
(共用ゾーン)
吹抜けのあるエントランスホールやカフェ・ショップからなる共用部門
(管理者ゾーン)
事務室・会議室・荷解き室からなる管理部門、及び設備スペース

これらのゾーン(部門)が、空間や用途としてキチンと分けられているかどうかということがゾーニング計画であり、それらを結ぶ人の動きの効率を考えることが動線計画です。

③要求室等の計画
要求されている室が全て計画されていて、要求されている床面積等をクリアした上で、室の用途に応じた計画となっている必要があります。例えば、通常、学校の教室は整形な無柱空間として計画しますが、レストランなどは室形状がL字で有柱であったとしても問題ないはずです。あと、無柱の大空間の室形状等もこの項目の範疇となります。

④建築物の立体構成等
吹抜けや2層分の天井高を必要とする大空間などの立体的な構成計画の他に、屋上庭園を配置することによる各階相互の整合性などを考えます。また、近年においては、面積調整のためのピロティ配置を回避させるために、通行の用途等で使用する箇所(風除室の前等)以外をピロティとする場合は、床面積に参入しなければならない旨が付記されています。つまり、各階に用途不明のピロティをむやみに作ることはNGとなります。

以上となりますが、一番難しいというか、自分の中で腑に落ちる計画ができるようになるまで時間を要した項目は、②のゾーニング・動線計画です。あと、①も自分のエスキス計画の中では、当初、意外と抜けが多かったと記憶しています。

なお、ランクⅡとなる要因の考察については、後日、書き連ねてみたいと思いますので、よろしくお願い致します。

ちなみに、前にも書きましたが、自分は製図試験の勉強では、「ウラ指導」と「一級とるぞ!.Net」のお世話になりました。特に合格した年は、ウラ指導一本でした。当サイトにリンクがありますので、ご活用下さい。

(追記)
極めて個人的な見解では、上記②を大きくゾーニングと捉え、その他の①③④を空間構成というふうに考えています。どういうことかというと、JAEICのアナウンスによれば、ゾーニングは空間構成の中に据えられていますが、その「ゾーニング」と「空間構成」を分けて考えるということです。なぜ、このような考え方をするかというと、これまた極めて個人的な見解ですが、過去の合格図面を見てきた経験上(自分のも含めて)、ゾーニングに対しての採点は少々甘いように感じるからです。余程おかしなゾーニングになっていない限り、他の①③④(特に③と④)がしっかりしていれば、基本、合格しているように思われます。②でやってはいけない(減点が大きい)ミスは、利用者→管理→利用者のようなゾーンまたぎの動線計画です。これは、かなり厳しく見られる傾向にあります。あと、③において、最も重要なことを書き忘れましたが、利用者・共用の諸室を、とにかくゆったりと計画しさえすれば、管理の諸室はどうでもいいです(もちろん限度はありますが)。

まとめますと、ゾーニングはそこそこでも、他の空間構成がしっかりしていれば受かるということです。特に各ゾーンを階ごとにまとめるフロアゾーニングにこだわる必要性は低い傾向にあります。
以上、今後の学習に役立てて頂ければと思います。
(※追記を少し修正しました。R2.5.23)

 

鉄骨造の強度と剛性の問題

鉄骨造における強度と剛性について、H28年に出題された次の一文の正誤を判断しつつ、考察してみたいと思います。まずは、必要最小限の文字と数式で、概念的に解説しようと思います。
(「強度→壊れにくさ」「剛性→変形のしにくさ」ということも、念頭に置いてみて下さい。)

学科Ⅳ(構造)(1級過去問 H28(鉄骨造))から、

問 次の正誤を判定せよ。
曲げ剛性に余裕のあるラーメン構造の梁において、梁せいを小さくするために、SN400B材の代わりにSN490B材を用いた。

 

【解説】
まず、曲げ剛性はEIで表すことができます。
E:ヤング係数(N/mm2
I:断面二次モーメント(mm4

これに余裕があるわけですが、鋼材のヤング係数は強度に関わらず一定ですから、すなわち断面二次モーメントに余裕があると解釈できます。

通常、鉄骨造のたわみ量は、柱スパンの1/300以下にしなければなりませんので、それをクリアするための梁せいが必要になりますが、断面二次モーメントに余裕がある、すなわち梁せいを、もうちょっと小さくできると言っているわけです(梁せいが小さくなると、当然たわみやすくなりますが、それでも1/300以下を保っているということです)。

ところが、梁せいが小さくなってしまうと、たとえたわみ量をクリアしていたとしても、今度は強度が不足してしまいます(小さくなったんで)。

よって、引張強度400N/mm2の鋼材から、490N/mm2の鋼材へ代えたという設問の記述は正しいということになります。

以下に手書きの解説を付します(見にくくてすみません)。

最後に頻出の留意事項について記したいと思います。
よく、「たわみを小さくするために、鋼材の強度を上げた」というような設問を目にすることがありますが、断面形状等その他の条件が同じ場合、これは誤りとなります。

なぜなら、上述のたわみの式からも分かるように、たわみを小さくするためには曲げ剛性EIを大きくしなければなりませんが、鋼材については、強度を大きくしてもヤング係数Eは変わらないので(下図参照)、たわみ量に影響しないからです。具体的にたわみを小さくするためには、断面二次モーメントを大きくするとか、作用する荷重を小さくするとか、スパンを短くするとかが必要になります。

以上、よく吟味して頂ければと思います。

ザイデルの式

今回は、環境・設備から、換気問題におけるザイデルの式を使った基本的な問題を取り上げてみたいと思います。本問の内容は、近年において、二級建築士試験でも問われる傾向にありますので、しっかりとご確認頂ければと思います。ちなみに、この種の難易度の問題を、如何に取りこぼさずに得点できるかということが、本当に大切なことだと考えます。

学科Ⅱ(環境・設備)(1級過去問 H28)

定常状態における室内の二酸化炭素濃度を上限の基準である1,000ppm以下に保つために、最低限必要な外気の取入量として最も適当な値は、次のうちどれか。ただし、人体一人当たりの二酸化炭素発生量は0.024㎥/(h・人)であり、人体から発生した二酸化炭素濃度は直ちに室全体に一様に拡散するものとし、外気の二酸化炭素濃度を400ppmとする。また、隙間風は考慮しないものとする。

1. 20㎥/(h・人)
2. 30㎥/(h・人)
3. 40㎥/(h・人)
4. 50㎥/(h・人)

 

【解説】

ザイデルの式より、

Q=k/(Pi-Po)〔㎥/h〕

Q:必要換気量〔㎥/h〕

k:一人当りの二酸化炭素発生量〔㎥/(h・人)〕
→ 設問より、0.024〔㎥/(h・人)

Pi:室内空気の二酸化炭素許容濃度
→ 設問より、1,000ppm×10-6=0.001

Po:外気の二酸化炭素濃度
→ 設問より、400ppm×10-6=0.0004

以上のことより、Q=0.024/(0.001-0.0004)=40〔㎥/(h・人)〕となり、答えは3.となります。

ポイントは、ppmで与えられている数値を小数に直して代入するということです。ここで、1ppm=10-6(百万分率)であることは、もう一度確認しておきましょう。

あと、10,000ppm=1%という関係も押さえておきましょう。二酸化炭素の許容濃度が1,000ppm(0.1%)であるということと、一酸化炭素の許容濃度が10ppm(0.001%)であるということは、よく出題されます。
10,000ppm=1%という関係を覚えておくと、ppmと%との換算が楽になります。

 

おすすめの書籍

建築士試験の受験という観点から、特に推奨したい書籍をご紹介させて頂きます。ここで紹介する書籍は、特に独学されている方におすすめですが、資格学校に通われている方でも、一読しておいて損はないと思われます。

まず何と言っても、個人的に圧倒的におすすめしたい本が「ツボ」シリーズです。自分が受験していた頃は、構造系のものしかありませんでしが、今は法規のものも出版されています。構造設計の「ツボ」を読むことによって、構造という教科に自信が持てるようになりました。例えば、構造特性係数Dsについての考え方などが、非常に分かりやすく簡潔に書かれています。この本の特に気に入っている点は、全てが「簡潔」に書かれているところです。余計な解説はほとんどありません。ピンポイントでその問題を解くための、まさに「ツボ」が記されています。ご購入の際は、力学系と文章題系と2冊ありますので、気をつけて下さい。自分はどちらも購入しました。

次に助かった本は「法規のウラ指導」です。一度、建築士試験を受けられている方は十分にご承知されていると思いますが、本試験時において、法規の教科は本当に時間が不足します。特に一級建築士試験においては、30問を105分で解かなければなりません。1問あたり3.5分です。全ての選択枝を1枝1枝丁寧に吟味するなんてことは、ほぼ不可能です。つまり、如何に法令集を引かずに解くかということが重要になってきます。この本の良い点は、例題を解くのに必要な箇所の条文が全て掲載されているので、法令集を一切引かずに流し読みできるというところです。このことは、非常に大きなメリットだと言えます。法規の勉強は、どうしても法令集を引かなければならないので、面倒くさくて億劫になりがちです。しかし、この本はベッドの上とかで、気楽に眺めることができ、しかも、法令集を引かずに解くという習慣を身に付けることができます。一級建築士試験を受けようと思われている方にとって、買って損はない書籍だと思います。

ここまで、構造(力学含む)と法規のおすすめの書籍について書いてきました。
正直なところ、他の3教科(計画・環境設備・施工)についての推奨書籍は持ち合わせていません。強いて言えば、とにかく過去問集を参考にしたということでしょうか。もちろん構造と法規についても同様のことが言えますが、この2教科は配点が大きい(30点ずつの計60点)ので、ここで確実に50点とるために、上記の書籍を活用しました。

最後に、過去問集について記したいと思います。自分が使用した過去問集は、総合資格学院の「スーパー7」です。もちろん、他の資格学校や出版社のものでも全く構わないと思います。若干、年数としては不足していると思われますので、不安がある場合は「合格物語」というサイトを参考にしてみて下さい。自分は利用したことはありませんが、20年分の過去問が手に入るようです。興味のある方は、訪れてみて下さい。当サイトに関連機関のリンクがありますので、ご活用下さい。

あと、自分は製図試験に関しては、「ウラ指導」や「とるぞ!.Net」のお世話になりました。その辺の話は後日したいと思います。

 

組み合わせ応力度の問題 パート2

前回パート1からの続きです。
では、実際に問題を解いてみたいと思います。

H26年 一級建築士試験 学科Ⅳ(構造)の過去問です。

問 図-1のような底部で固定された矩形断面材の頂部の図心G点に鉛直荷重P及び水平荷重Qが作用するときの底部a-a断面における垂直応力度分布が、図-2に示されている。PとQとの組合わせとして、正しいものは、次のうちどれか。ただし、矩形断面材は等質等断面で、自重は考慮しないものとする。

 

※何かありましたら、ご一報下さい。

組み合わせ応力度の問題 パート1

H26年 一級建築士試験 学科Ⅳ(構造)からの出題です。

圧縮応力度と曲げ応力度との、いわゆる組み合わせ応力度の問題です。
よく目にする問題で、難易度としては、それほど難しくないと思います。

今回は、問題を解くのではなくて、この問題の意味について、少し深く考えてみたいと思います。

まず、下向きの鉛直方向の外力Pは、長期荷重を表しています。長期荷重とは、建築物に常時作用している荷重のことで、固定荷重や積載荷重などのことです。
一方、右向きの水平方向の外力Qは、短期荷重を表しており、臨時(非常時)の荷重、すなわち地震力や風圧力(台風など)のことです。

つまり、何事もない平和なときの建物には、鉛直方向の下向きの荷重のみが作用し、地震や台風などが発生した場合において、水平方向の力が作用することになります。

従いまして、上記の図-1の状況は、常時荷重に非常時荷重が組み合わさった状態ということが分かります(普通に考えれば、地震時ということになります)。

ここで、図-2の意味について考えてみたいと思います。

もしも、鉛直荷重Pのみが作用している状態であれば、a-a断面における応力度分布は、全て圧縮となります。

また、水平荷重Qのみが作用している状態であれば、中立軸を境に応力度分布は次のようになります。

以上のことより、応力度分布を組み合わせて考えてみます。

上図において、①のルートは圧縮と圧縮を足して2σという圧縮応力度になっていることが分かります。一方、②のルートでは圧縮と引張を足しているので、右側の2σよりは小さい値のσとなっています。つまり、転倒させようとする力よりも上から押さえつける力の方が大きいので、a-a断面の全面に圧縮応力度が作用していることが分かります。

また、逆に、上から押さえつける力が弱ければ、建物は転倒(回転)しようとしますので、応力度分布は次のようになります。

以上の事項を念頭におくことによって、ただ機械的に解くよりも、組み合わせ応力度の問題が楽しくなるはずです。

次回は、本問を実際に解いてみたいと思います。
(結局、機械的に解くことになりますが。)